1-й вопрос
Предмет и задачи военной топографии. Способы измерения углов и расстояний на местности. Сущность и способы ориентирования на местности. Топографическое и тактическое ориентирование
Предмет и задачи военной топографии
Военная топография( от греч. Topos – местность, grapho – пишу ) -
специальная военная дисциплина о способах и средствах изучения и оценки
местности, ориентирования на ней и производства полевых измерений для
обеспечения боевой деятельности войск, о правилах ведения рабочих карт
командиров и разработки графических боевых документов.
Современная военная топография дает знания о тактических
свойствах местности, о наиболее эффективных способах и средствах ее изучения и
оценки при организации и ведении боевых действий.
Предметом военной топографии являются способы изучения и оценки
тактических свойств местности, ориентирования на ней по топографическим и
специальным картам, аэрофотоснимкам, а также приемы полевых
измерений.
Главной задачей военной топографии является изыскание наиболее
рациональных способов и средств получения информации о местности.
Применение современных мощных огневых и радиотехнических
средств требует производства топографических измерений и расчетов по их
привязке, ориентированию направлений их действий и по определению расстояний до
целей. Чем больше эти расстояния, тем точнее должны производиться такие
измерения. С этой целью в войсках используют различного рода измерительные
инструменты - угломерные приборы, дальномеры, высотомеры и т.п. Для измерения и
расчетов широко приминаются также топографические карты. Однако в современном
бою, когда успех зачастую решают минуты, а иногда и секунды, наряду с
применением точной измерительной техники не менее важно, что бы каждый воин, и
тем более командир обладал хорошим глазомером и мог, применяя простейшие способы
измерений, быстро и достаточно точно определять расстояния до целей, ориентиров
и других объектов, а также направлений на них. Особенно это важно для
мотострелковых подразделений. Такие простейшие угломерные и линейные измерения
постоянно требуются при разведке, ориентировании на местности и, особенно при
подготовке исходных данных для стрельбы. Измерять углы приходится, например, при
определении местоположения различных объектов, направлений пути движения, при
целеуказании и т. п. Угловые измерения также применяются при определении
расстояний и линейных размеров удаленных
объектов.
Топографическое ориентирование
В
войсковой практике, особенно в стрелковом деле, где при вычислениях постоянно
проходится пользоваться соотношениями между угловыми и линейными величинами,
вместо градусной системы угловых мер применяется артиллерийская, более простая и
удобная для быстрых приближенных вычислений.
В этой системе за единицу угловых мер принят центральный
угол круга, стягиваемый дугой равной 1/6000 длины окружности. Такая единица
угловых мер называется делением угломера или тысячной. Второе название
объясняется тем, что длина такого одного деления t равна округленно тысячной
доле радиуса окружности так как

При наблюдении окружающих нас объектов (целей,
ориентиров и т.п.) мы находимся как бы в центре концентрических окружностей,
радиусы которых равны расстояниям до этих объектов. Таким образом, длина 1/6000
части окружности, т.е. цена деления угломера, округленно равна одной тысячной
доле расстояния Д до наблюдаемого объекта, т.е.

В этом и заключается преимущество данной системы угловых
мер по сравнению с градусной: мерой углов здесь служит линейный отрезок, равный
тысячной доли расстояния. Это позволяет быстро и легко, посредством простейших
арифметических действий переходить от угловых измерений к линейным и
обратно.
При измерении углов в тысячных принято называть и
записывать раздельно сначала число сотен тысячных, а затем десятков и единиц.
Если при этом сотен или десятков не окажется, то вместо них называют и
записывают нули. Таким образом, отсчеты углов получаются в
виде:
|
Угол в тысячных |
Записывается |
Читается |
|
1250 |
12-50 |
Двенадцать,
пятьдесят |
|
155 |
1-55 |
Один,
пятьдесят |
|
35 |
0-35 |
Ноль, тридцать
пять |
|
1 |
0-01 |
Ноль, ноль
один |
Длина окружности в градусах равна 360, в эту окружность
входит 6000 малых делений угломера или 60-00 больших делений, тогда большое
деление угломера

а малое деление угломера

60-00 = 360°, 45-00 = 270°, 30-00 =
180°, 15-00 = 90°
Способы измерения углов на местности
Измерение
углов полевым биноклем.
В зрительной трубе бинокля имеются две взаимно
перпендикулярные шкалы (сетки) для измерения горизонтальных и вертикальных углов
с ценой большого деления 0-10, а малого 0-05. Чтобы измерить угол между двумя
предметами, надо совместить какой-либо штрих шкалы с одним из них и подсчитать
число делений против изображения второго. Умножив число делений на цену одного
деления, получим величину измеряемого угла в тысячных. На рис.1 горизонтальный
угол между двумя отдельными деревьями равен 0-45, а вертикальный угол между
основанием и вершиной отдельного дерева -0-15.

Приборы наблюдения и прицеливания имеют шкалы, подобные
шкалам бинокля, поэтому углы с помощью этих приборов измеряют так же, как и с
помощью бинокля.
Измерение
углов с помощью линейки.
С помощью линейки с миллиметровыми делениями можно
измерять углы в делениях угломера и градусах. Если линейку держать перед собой
на расстоянии 50 см от глаза (рис.2), то один миллиметр на линейке будет
соответствовать двум тысячным (0-02). При измерении угла необходимо подсчитать
на линейке число миллиметров между предметами (ориентирами) и умножить на 0-02.
Полученный результат будет соответствовать величине измеряемого угла в тысячных.
На рис.1 угол между столбами равен 0-32, а высота дерева -
0-21.
Для измерения угла в градусах линейка выносится перед
собой на расстояние 60 см. В этом случае 1 см на линейке будет соответствовать
1°.

Рис. 2. Измерение углов с помощью
линейки
а - угол между столбами линии связи
0-32; б - угол на дерево 0-21
Точность измерения углов с помощью линейки зависит от
точности выноса ее на расстояние 50 см перед собой.
Измерение
углов с помощью компаса.
Вначале мушку визирного устройства компаса устанавливают
на нулевой отсчет шкалы. Затем поворотом компаса в горизонтальной плоскости
совмещают через целик и мушку линию визирования с направлением на левый предмет
(ориентир). После этого, не меняя положения компаса, визирное устройство
переводят в направление на правый предмет и снимают по шкале отсчет, который
будет соответствовать величине измеряемого угла в
градусах.
Измерение угла
по циферблату часов.
Часы держат перед собой горизонтально и поворачивают их
так, чтобы штрих соответствующей 12 часам на циферблате, совместился с
направлением левой стороны угла. Не меняя положения часов, замечают пересечение
направления правой стороны угла с циферблатом и отсчитывают количество часовых
промежутков и его долей (по минутным штрихам циферблата или на глаз). Затем
определяют величину угла в градусах, имея в виду, что угол между двумя часовыми
штрихами на циферблате равен 30°, а между минутными - 6°.
Углы можно определять с помощью некоторых предметов,
если их держать перед собой на расстоянии 50 см.
Угловые величины этих предметов приведены в таблице.
|
Предмет |
Размер в тысячных |
|
Большой палец (ширина) |
0-50 |
|
Указательный палец
(ширина) |
0-40 |
|
Мизинец (ширина) |
0-30 |
|
Карандаш простой
(диаметр) |
0-15 |
|
Пуля автомата 7,62 мм
(диаметр) |
0-15 |
|
Пуля автомата 5,45 мм
(диаметр) |
0-10 |
|
Спичечная коробка (длина) |
1-00 |
|
Спичечная коробка
(ширина) |
0-70 |
|
Спичечная коробка
(высота) |
0-30 |
Способы
измерений расстояний на местности.
Глазомерное
определение расстояний.
Глазомерное определение по признакам видимости (степени
различимости) отдельных предметов и целей или путем сравнения их с заранее
известными отрезками.
|
Признаки видимости |
Дальность (км) |
|
Видны дома сельского типа |
5 |
|
Различаются окна в домах |
4 |
|
Видны отдельные деревья, трубы на
крышах |
3 |
|
Видны отдельные люди; танки от машин других типов
отличать трудно |
2 |
|
Танк отличается от машин других типов, видны
столбы линий связи |
1,5 |
|
Виден ствол пушки, различаются стволы деревьев в
лесу |
1 |
|
Заметны движения рук
человека |
0,7 |
|
Видна командирская башня танка, дульный тормоз,
заметно движение гусениц |
0,5 |
Расстояние (дальность) глазомерно можно определить
сравнением с другим заранее известным расстоянием, например, с расстоянием до
ориентира или запечатленными в памяти отрезками в 100, 200,500
м.
На точность глазомерного определения расстояния
существенно влияют условия наблюдения:
- ярко освещенные предметы кажутся ближе слабо
освещенных;
- в пасмурные дни, дождь, сумерки, туман все наблюдаемые
предметы кажутся дальше, чем в солнечные дни;
- крупные предметы кажутся ближе мелких, находящихся на
том же расстоянии;
- предметы яркой окраски (белой, желтой, оранжевой,
красной) кажутся ближе тайных (черных, коричневых, синих);
- в горах, а так же при наблюдении через водные
пространства предметы кажутся ближе, чем в
действительности;
- при наблюдении лежа, предметы кажутся ближе, чем при
наблюдении стоя;
- при наблюдении снизу вверх предмета кажутся ближе, а
при наблюдении сверху вниз - дальше;
- при наблюдении ночью светящиеся объекты кажутся ближе,
а затемненные - дальше, чем в действительности;
- глазомерно расстояние до 1 км при достаточной
опытности определяется со средней ошибкой порядка 10-20%
дальности.
При определении больших расстояний ошибка может доходить
до 30-50 %.
Определение
дальностей по слышимости звуков.
Этот способ применяется в условиях плохой видимости,
преимущественно ночью. Примерные дальности слышимости некоторых звуков при
нормальном слухе и благоприятных условиях погоды приведены в
таблице.
|
Объект и характер
звука |
Дальность слышимости (км) |
|
Негромкий разговор, негромкие команды, заряжание
оружия, резка проволоки |
0,1-0,2 |
|
Забивка в землю кольев вручную (равномерно
повторяющиеся удары) |
0,3 |
|
Рубка или пилка леса (стук топора, визг
пилы) |
0,4 |
|
Движение подразделений в пешем строю (ровный
глухой шум сапог |
0,3 -
0,6 |
|
Падение срубленных деревьев (треск сучьев, глухой
удар о землю) |
0,8 |
|
Движение автомобилей (ровный глухой шум
мотора) |
0,5-1 |
|
Громкий крик, отрывка окопов (удары лопаты о
камни) |
1 |
|
Гудки автомобилей, одиночные выстрелы из
автомата |
2-3 |
|
Стрельба очередями, движение танков (лязг гусениц,
резкий рокот моторов) |
3-4 |
|
Орудийная стрельба |
10-15 |
Точность определения расстояний по слышимости звуков
невысокая. Она зависит от опытности наблюдателя, остроты и натренированности его
слуха и умения учитывать направление и силу ветра, температуру и влажность
воздуха, характер складок рельефа, наличие экранирующих поверхностей, отражающих
звук и другие факторы, влияющие на распространении звука.
Определение
расстояний по звуку и вспышке (выстрела, взрыва).
Этот способ основан на скорости прохождения звука и
производится измерением времени от момента вспышки до момента восприятия звука с
последующим расчетом по формуле
Д = 330 t
где Д - расстояние до места вспышки в
м;
t - время от момента вспышки до момента восприятия звука
в сек;
330 - средняя скорость распространения звука в
м/сек.
Пример: Звук был услышан через 10 сек после вспышки.
Следовательно, расстояние до места взрыва ровно примерно 3300
м.
Определение расстояния по линейному размеру и угловой
величине наблюдаемого предмета
Применение этого способа возможно, если известна
наблюдаемая линейная величина (высота, ширина или длина) предмета, до которого
определяется расстояние. Способ сводится к измерению в тысячных угла, под
которым виден этот предмет, и к последующему решению задачи: по соотношению
линейной (известной заранее) и угловой (измеренной) величин предмета определить
расстояние до него.

Рис. 3. Угол У =300 тысячных
(3-00)
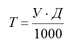
На рис. 3 показано, что дуга АК=Т, стягивающая угол, под
которым видно наблюдаемое дерево (В=АЕ) равен 3-00 (300 тыс.). Цена деления
угломера равна одной тысячной дальности Д/1000, следовательно длина дуги Т
будет
(1)
Для малых углов до 3-00 (18° можно считать, что длина
дуги Т=АК и соответствующего ей отрезка В=АЕ, равными между
собой.
Подставляя это в формулу (1)
получим
(2)
Эта пропорция носит название формулы тысячных. Решая
пропорцию относительно В или Д получим соответственно
а) формулу тысячных для определения
расстояний
(3)
б) формулу тысячных для определения линейных
размеров
(4)
Эти формулы дают достаточно точные результаты
вычислений, если величина У не превышает 3-00 (300 тыс.).
Линейные
размеры некоторых объектов
|
Объекты |
Размеры в метрах |
|
Расстояния между столбами линий
связи |
50-60 |
|
Дом сельского типа
(высота) |
6-7 |
|
Деревянный столб линии связи
(высота) |
5-7 |
|
Один этаж жилого дома
(высота) |
3-4 |
|
Железнодорожные вагоны пассажирские
(высота) |
4,3 |
|
Железнодорожные вагоны товарные
(высота) |
4 |
|
Танки (высота) |
2,5-3 |
|
Автомобили (высота) |
1,6-2 |
|
Человек сродного роста |
1,7 |
Пример 1. Высота столба, возле которого появилась цель,
равна 6 м. Столб наблюдается под углом 0-05 (5 тыс.). Определить расстояние до
цели.

Пример 2. Расстояние между столбами 50 м между собой
покрывается 40 мм делениями линейки. Определить расстояние до этих столбов. Так
как 1 мм соответствует 0-02, то в данном случае У = 0-08 (8 тыс.),
поэтому

Пример 3. Определить высоту обрыва, который виден на
расстоянии 200 м под углом 0-40.

Измерение
расстояний шагами.
В боевой обстановке этот способ по сравнению с другими
имеет более ограниченное применение. В подразделениях он применяется, если
позволяет обстановка, главным образом при составлении схем, ориентиров, схем
опорных пунктов подразделений, а также для контрольных параметров, особенно
выполняемых в учебных целях. Чтобы повысить точность измерения расстояния
шагами, необходимо:
а) натренироваться в ходьбе ровным шагом, особенно в
неблагоприятных условиях (на подъемах и спусках, при движении по лугу, в
кустарнике и т.д.);
б) знать длину своего шага в метрах; она определяется из
промера, шагами линий, длина которой заранее известна и должна быть не менее 200
– 300 м.
При измерении расстояний шаги считаются парами (обычно
под левую ногу). После каждой сотни пар шагов счет начинается снова. Чтобы не
сбиться полезно каждую пройденную сотню пар отмечать на бумаге или же загибать
последовательно пыльцы руки.
Принимая среднюю длину шага за 0,75 м, а пару шагов за
1,5 м, можно приблизительно считать, что расстояние в метрах равно числу пар
шагов, увеличенному в 1,5 раза. Для более точных подсчетов надо брать
действительную длину своего шага.
Ошибки определения расстояний шагами при ровном хорошо
выверенном шаге в среднем достигают 2 - 4 % измеренного
расстояния.
Определение
расстояний по времени движения.
Этот способ полезно применять в пути для приближенной контрольной оценки пройденного пути, например, при передвижении на лыжах, ночью, в условиях плохой видимости и т.п. Для этого надо знать среднюю скорость движения. Например, средняя скорость движения походным шагом около 5 км/час, если подъемы и спуски на пути не превышают 5°.
Тактическое ориентирование.
Тактическое ориентирование заключается в определении и
показе на местности расположения и характера действий войск противника и своих
подразделений к определенному времени.

Первоначально наблюдение ведется
невооруженным глазом. Местность осматривается справа налево, от ближних предметов к
дальним. В качестве ориентиров выбирается хорошо видимые на местности
неподвижные естественные или искусственные предметы, а также элементы рельефа.
Для удобства ориентирования в ночное время необходимо выбирать ярко выраженные
на местности или видимые в ночное время предметы.
Выбирать ориентиры во всех зонах
наблюдения: ближней, средней и дальней.
Пример тактического ориентирования в
городских условиях:
Нумерация окон и дверей здания:

|
1 |
2 |
|
3 |
4 |
|
5 |
6 |
|
7 |
8 |
Пример:
Наблюдатель:
шестой сектор - голова в
маске.
Снайпер:
вижу - шестой сектор (при
предварительном наблюдении);
вижу - готов (при готовности открыть
огонь).
Тестовое
задание
Угол между северным направлением среднего меридиана и направлением на ориентир.
Угол между северным направлением магнитной стрелки компаса и направлением на ориентир.
Угол между северным направлением истинного меридиана и направлением на ориентир.
Изыскание наиболее рациональных способов и средств получения информации о местности.
Определение азимутов движения по маршрутам и направлением на ориентир.
Определение координат целей и стартовых позиций.
Определение координат целей и стартовых позиций.
Изыскание наиболее рациональных способов и средств получения информации о местности.
Определение и показ на местности расположение и характер действий войск противника и своих подразделений к определенному времени.
3-4
8-10
1-2
m=b\2a
c=а2+b2
D= 1000В/У
m=b\2a
c=а2+b2
D= 1000В/У
за единицу угловых мер принят центральный угол круга, стягиваемый дугой, равной 1\600 длины окружности;
за единицу угловых мер принят центральный угол круга, стягиваемый дугой, равной 1\60 длины окружности.